La peculiar manera que utilizan en Llanes (con una carta en catalán) para exigir inversiones a Barbón: "En español no nos atiende"
"El PSOE parece mostrar mucha más atención y sensibilidad hacia las solicitudes realizadas en la lengua de Llull y de Verdaguer", explica la formación municipalista VxLl, que gobierna el concejo con el PP

A.D.

Vecinos x Llanes (VxLl) ha enviado al presidente del Principado, Adrián Barbón, una carta en catalán, a la que ha tenido acceso LA NUEVA ESPAÑA, en la que reclama "peticions raonables", inversiones en proyectos clave para el concejo que el Ejecutivo autonómico no ha atendido desde hace años. La formación a la que pertenece el alcalde llanisco, Enrique Riestra Rozas, se dirige al jefe del Ejecutivo en catalán "tras los reiterados intentos fallidos de ser atendidos en español".
"Dado que las múltiples peticiones anteriores, realizadas en castellano, no han tenido respuesta, y habida cuenta de que el Partido Socialista Obrero Español parece mostrar mucha más atención y sensibilidad para con aquellas solicitudes realizadas en catalán, desde Vecinos x Llanes hemos tomado la decisión de redactar esta carta abierta en la lengua de Llull y de Verdaguer, en la esperanza de que nuestras solicitudes, que son las del pueblo de Llanes, sean atendidas", explica la formación municipalista, que gobierna el concejo llanisco en coalición con el Partido Popular.
VxLl asegura que viene observando cómo, "año tras año", el concejo de Llanes se queda "a la cola de los concejos de la comarca en cuanto a inversiones finalistas en los presupuestos del Principado". Además, "las numerosas y reiteradas peticiones que desde el Ayuntamiento de Llanes han sido trasladadas al Principado no han sido atendidas, y muchos de los anuncios de inversiones realizados por la administración autonómica nunca han llegado a materializarse".
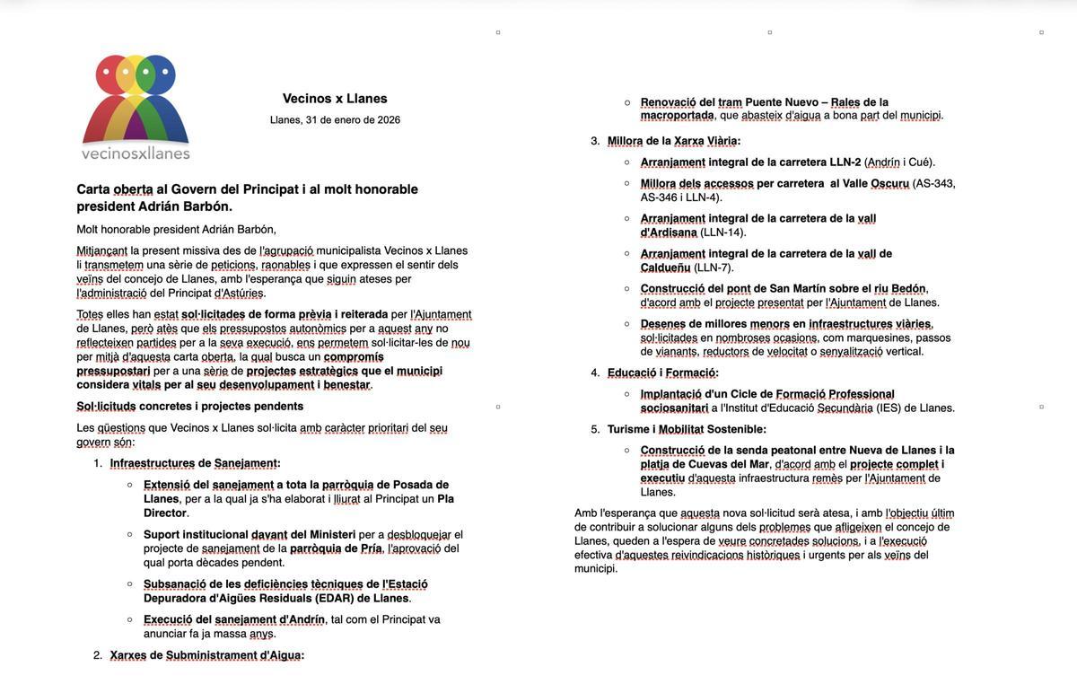
"Molt honorable President"
Por todo ello, "de nuevo", a través de esa "carta oberta" en lengua catalana, VxLl reclama la ejecución de proyectos e infraestructuras que considera "vitals" para Llanes, y denuncia el "agravio comparativo" en materia de inversión autonómica respecto a municipios cercanos "de gobierno socialista", que no cita.

Reproducción de la carta de Vecinos x Llanes al presidente del Principado. / LNE
El partido localista se dirige al jefe del Ejecutivo asturiano en los siguientes términos: "Molt honorable president Adrián Barbón", y le lanza "sol·licituds concretes i projectes pendents". Entre esos proyectos pendientes que VxLl solicita "amb caràcter prioritari" figuran infraestructuras de saneamiento, suministros de agua, mejoras de la red de carreteras, proyectos relacionados con la educación y la formación, y peticiones sobre turismo y movilidad sostenible. Todo ellas "solicitadas de forma previa y reiterada por el Ayuntamiento de Llanes". Y, en esta ocasión, en perfecto catalán y "amb l’esperança que siguin ateses".
Entre las prioridades en materia de infraestructuras de saneamiento incluidas en el listado figuran la extensión del "sanejament" a toda la parroquia de Posada; apoyo ante el "Ministeri" para desbloquear el saneamiento de la parroquia de Pría, prometido por el PSOE hace más de 30 años; la reparación de la EDAR de Llanes; y la ejecución del también prometido hace años saneamiento de Andrín.
Reclama asimismo la "renovació" del tramo de "subministrament d’aigua" entre La Puente Nueva y Rales, y la mejora de varias carreteras: Andrín y Cue (LLn-2), Valle Oscuru (AS-343, AS-346 y LLN-4), valle de Ardisana (LLN-14), valle de Caldueñu (LLN-7).
"Reductors de velocitat"
Más peticiones: la "construcció" del puente de Samartín de Naves sobre el río Beón; mejoras menores en "desenes en infraestructures viàries", como marquesinas, pasos de peatones, "reductors de velocitat" o señalización vertical.
En el apartado de Educación y Formación, VxLl pide la "implantació" de un Ciclo de FP sociosanitario en el IES de Llanes; y en el de Turismo y Movilidad Sostenible, la construcción de la senda peatonal entre Nueva y la "platja" de Cuevas del Mar, de acuerdo con el proyecto remitido por el "Ajuntamient".
El último párrafo, por supuesto en catalán, Vecinos x Llanes señala la "esperança" de que esta nueva solicitud será atendida para contribuir a solucionar "alguns dels problemes que afligeixen el concejo de Llanes". VxLl queda a la espera de "veure concretades solucions" y de la "execució efectiva d’aquestes reivindicacions històriques i urgents per als veïns del municipi".
Suscríbete para seguir leyendo
- Mañana se esperan colas kilométricas en Primark para conseguir el juego de sábanas estilo hotel que arrasa: de algodón y en colores que inspiran serenidad
- Manu, víctima de un síndrome tras su paso por Pasapalabra y más de 400 programas y esfuerzo diario: 'Aguanta el nivel de estudio, de grabaciones
- Mañana habrá colas kilométricas en Action para conseguir el juego de sartenes antiadherentes más barato del mercado: tres tamaños que se adaptan a cada comida
- Mañana habrá colas kilométricas en Action para conseguir el organizador plegable para cubiertos y palas de cocinas en el cajón: adiós a las bandejas con separación
- Mañana se esperan colas kilométricas en Action para conseguir la vela de marca de lujo con aceites esenciales que ha bajado su precio a menos de 6 euros: aroma que crea una atmósfera cálida y relajante
- Mañana habrá colas kilométricas en Action para comprar la vajilla de porcelana más barata del mercado: por menos de 3 euros
- Mañana habrá colas kilométricas en Lidl para conseguir el juego de toallas de secado rápido más barato del mercado: en cuatro colores y seca más rápido que otros tejidos
- Ana Méndez Civieta, la ingeniera ovetense que está al frente del 'túnel inteligente' clave para la expansión de Londres